高壓型熱風機報價
- 產品分類:熱風機價格表
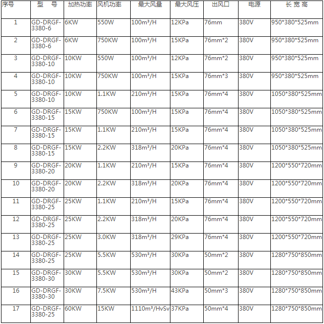
- 產品型號:非標定制
- 品牌名稱:GUANDN 冠頂
- 參 考 價:2888
- 適用范圍:廣泛應用于電子、飲料食品、制藥、橡膠、冶金、印刷、包裝、鑄造、畜牧、飲料清洗、熱處理
- 產品簡介:
價格咨詢點擊QQ客服:

- 高壓熱風機通電后,鼓風機把空氣吹送到加熱器里,令空氣從螺旋狀的電熱絲內、外側均勻通過,電熱絲通電后產生的熱量與通過的冷空氣進行熱交換,從而使用出風口的風溫升高。出風口處的K型熱電偶及時將探測到的出風溫度反饋到溫控儀,儀表根據設定的溫度監測著工作的實際溫度,并將有關信息傳遞回固態繼電器進而控制加熱器是否工作。同時,通風機可利用風量調節器(變頻器、風門)調節吹送空氣的風量大小,由此,實現工作溫度、風量的調控。
另外,熱風機還對通風機進風口、電機設置了超溫保護回路及對總電路設置了急剎摯開關,更進一步完善對設備的保護。高壓型熱風機由鼓風機、加熱器、控制電路三大部分組成。非磁性鎳鉻絲通電加熱空氣作熱風源,干凈衛生,符合環保。設有防干燒折斷功能。巧妙風洞設計,空氣從螺旋電熱絲內/外側均勻通過,熱交換近100%,風壓損失少,流量少。
微電腦PID/SSR控制,精度高,反饋快,持久耐用。設有多重過熱過載保護裝置,充分保證設備安全。出風口配K型熱電偶,直接檢測控制,出風溫度恒定。纖維保溫棉隔熱,堅固機殼,使用安全可靠,可長期保持高溫工作。連續使用溫度可達350℃/650℃,應用廣泛。循環熱風發生機的散熱裝置,持續進風溫度可達230℃,風量調節采用變頻器調速,更顯節能,可控性高,熱損少等優異特性。
相關閱讀:熱風機價格圖片系列 標簽:熱風機生產廠家 | 上海熱風機廠家
本類推薦